Mapas Mentales
Un mapa mental es un diagrama usado para representar las
palabras, ideas, tareas y dibujos u otros conceptos ligados y dispuestos
radialmente alrededor de una palabra clave o de una idea central. Los
mapas mentales son un método muy eficaz para extraer y memorizar
información. Son una forma lógica y creativa de tomar notas y expresar
ideas que consiste, literalmente, en cartografiar sus reflexiones sobre
un tema.
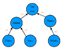
Mapa mental sobre la palabra estudiante.
Un mapa mental se obtiene y desarrolla alrededor de una palabra, frase o texto, situado en el centro, para luego derivar ideas, palabras y conceptos, mediante líneas que se trazan hacia alrededor del título; el sentido de estas líneas puede ser horario o anti-horario; es un recurso muy efectivo para evaluar la relación entre distintas variables.
APLICACIONES CON LAS QUE SE PUEDEN CREAR MAPAS MENTALES.
View Your Mind: es una aplicación para crear, diseñar y desarrollar mapas mentales. Una forma intuitiva, práctica y visual de almacenar la información. Es muy práctico para plasmas gráficamente unas ideas, procesos o diferentes fases de un proyecto.
EDraw Mindmap: Es todo lo que necesitas para crear tus propios mapas de ideas.
Desde la ventana principal tendrás acceso a todas las herramientas,
como cuadros de texto, flechas, símbolos y fondos para personalizar al
máximo los mapas mentales. Cuenta con diseños de ejemplo, y ofrece tal
libertad que puede usarse también como herramienta de dibujo, pudiendo guardar nuestras creaciones como PDF o en cualquier formato de imagen.FreeMind: Es una utilidad gratuita que te permitirá “liberar tu mente” de proyectos, ideas, y tareas de cualquier índole plasmándolas en un bonito y claro mapa conceptual.
Permite usar colores, iconos, diferentes bordes y líneas, etc. Además cuenta con “marcaciones” predeterminadas para diferentes estados y tipos tales como: abierto, preguntas abiertas, detalles, carpetas, requiere acción, requiere código, etc.
Elementos del mapa mental.
– Idea central robusta e impactante
– Coherencia
– IOB (Ideas Ordenadoras Básicas) en categorías destacables
– Ideas secundarias jerarquizadas
– Uso de colores, imágenes y flechas que trasmiten el mensaje de forma eficiente
Si
convirtiéramos esta información a texto podríamos apreciar con claridad
la diferencia en la forma de apropiar conocimientos entre un formato
lineal y el uso del hipertexto.
Ventajas y desventajas
VENTAJAS
- Requiere un análisis profundo del tema
- Se pueden organizar las ideas.
- Permite visualizar ideas abstractas.
- Útiles para lograr una evaluación formativa.
DESVENTAJAS
Se toma mucho tiempo para aplicarla.
Requiere del maestro que conozca la metodología de enseñanza de conceptos.
El poco manejo y/o acceso a la herramienta
Requiere del maestro que conozca la metodología de enseñanza de conceptos.
El poco manejo y/o acceso a la herramienta
MAPAS CONCEPTUALES.
El mapa conceptual es una técnica usada para la representación gráfica del conocimiento. Un mapa conceptual es una red de conceptos. En la red, los nodos representan los conceptos, y los enlaces representan las relaciones entre los conceptos.
Aplicaciones para hacer un mapa mental.
MindBoard Classic
permite escribir tanto con el teclado como con el dedo; para evitar
toques indeseados, detecta la palma de la mano. Proporciona varios
pinceles diferentes, distintos colores y permite exportar los mapas en
formato PDF. Hay una versión específica para los dispositivos Samsung,
que añade compatibilidad con su stylus S-Pen.MindQ
Apuesta por la personalización, gracias a la posibilidad de cambiar los fondos de los mapas, los colores utilizados, los patrones e incluso el formato del texto. Como complemento, cuenta con distintos temas sobre los que trabajar, así como con varias opciones de mapas en los que meter notas, enlaces, imágenes.
Itought
Desde esta app se pueden importar y exportar muchos de los formatos de las aplicaciones de escritorio para crear mapas mentales, incluyendo Novamind, Xmind, OPML, Excel, texto sin formato… El proyecto resultante puede exportarse también a PowerPoint o Keynote, Word o Pages, PDF, PNG… Funciona con servicios como Dropbox y WebDAV, así como con las redes sociales y otras aplicaciones.
Maptini
Permite trabajar de forma colaborativa a través de diversos iPad, iPhone o a través de la web, sincronizando en tiempo real todos los cambios que se realicen en el proyecto. La app incluye almacenamiento gratuito en la nube de los mapas creados, que también pueden descargarse con un solo clic .
MindMaple
Tiene dos versiones: una gratuita y con funciones limitadas, y otra completa que permite crear documentos ilimitados, añadir hipervínculos… Su interfaz es muy intuitivo, y en él es posible añadir notas, enlaces, imágenes, información adicional en cada uno de los cuadros… También tiene versión para Windows.
Elemenos del mapa mental
Los elementos fundamentales que componen un mapa conceptual son:
Los conceptos:regularidad en los
acontecimientos o en los objetos que se designa a través de un término. Libro, mamífero, o atmósfera son ejemplos de conceptos. Palabras de enlace:que se utilizan para unir los conceptos y para indicar el tipo de relación que se establece entre ellos. Por ejemplo, si relacionamos los conceptos «edad» y «experiencia», mediante las palabras de enlace proporciona o modifica, las proposiciones que genera son parecidas pero no idénticas.
Las proposiciones:dos o más términos conceptuales unidos por palabras para formar una unidad semántica. La ciudad tiene una zona industrial o el ser humano necesita oxígeno» son ejemplos de proposiciones.
La elipse u óvalo:los conceptos se colocan dentro de la elipse y las palabras enlace se escriben sobre o junto a la línea que une los conceptos. Pueden utilizarse también: rectángulos, cuadrados, círculos.
Ventajas y desventajas.
VENTAJAS
2. Demuestra que los conceptos de una disciplina determinada difieren en cuanto al
grado de inclusividad y generalización. La presentación jerárquica de los
conceptos facilita el aprendizaje.
3. Proporciona una visión integrada del tema y una especie de listado de aquello
que fue abordado.
DESVENTAJAS
1. Si el mapa no tiene significado para los alumnos, ellos pueden intentarlo como
algo más que memorizar.
2. Pueden ser muy complejos confusos y dificultar el aprendizaje y retención.
3. La habilidad de los alumnos para construir sus propios mapas puede quedar
influida por el mapa que propone el profesor.

No hay comentarios:
Publicar un comentario